
固溶强化理论认为,合金元素固溶于基体金属中造成一定程度的晶格畸变,增大位错运动的阻力,使滑移难以进行,从而使合金的强度与硬度增加,而间隙原子的畸变属于非对称性,间隙摩尔比置换原子具有更大的固溶强化效果......
固溶强化理论认为,合金元素固溶于基体金属中造成一定程度的晶格畸变,增大位错运动的阻力,使滑移难以进行,从而使合金的强度与硬度增加,而间隙原子的畸变属于非对称性,间隙摩尔比置换原子具有更大的固溶强化效果,因此在合金中加入适量的间隙原子可以起到明显强化效果。目前,添加B元素对高熵合金改性已有一些报道,如、(Al19Co20Fe20Ni41)100-xBx、AlCoCrFeNiBx、、等,但用在NiAl基共晶高熵合金体系中的研究报道则较少。
由于NiAl-34Cr和NiAl-39V为共晶组织结构,并且V-Cr二元相图表明两者可以无限固溶,因此可以设计用V、Cr无限固溶的BCC相替代Cr或V固溶体,形成B2+BCC两相共晶组织,YEXC等发现这一设计方案具有可行性,(NiAl)63V20Cr17的微观结构为规则的共晶组织。
三峡大学石墨增材制造技术与装备湖北省工程研究中心、三峡大学机械与动力学院、浙江正信车辆检测有限公司研究团队在2024年第44卷第1期期刊上发表了“(NiAl)63-xV20Cr17Bx共晶高熵合金的组织和性能”的文章,作者采用非自耗真空熔炼炉制备了一组非等摩尔比的高熵合金(NiAl)63-xV20Cr17Bx(x=0、0.2、0.4、0.6、0.8和1.0,摩尔比),通过XRD、EPMA、万能材料试验机等手段研究了B含量对合金微观组织和力学性能的影响。结果表明,(NiAl)63V20Cr17合金为B2+BCC双相共晶结构,属于海藻状共晶枝晶,规则的片层共晶被不规则的片层共晶包围。随着B含量增加,(NiAl)63-xV20Cr17Bx合金的微观结构由片层状共晶结构(x=0)转变为亚共晶结构(),纳米沉淀物(含M2B化合物)在初生相上析出。合金硬度先增加后减小,断裂强度和断裂应变持续增大。当x=0.8时,高熵合金具有良好的综合力学性能,其硬度(HV)为556,屈服强度为1523MPa,断裂强度为3348MPa,断裂应变为34.5%。
【研究内容】
用DHL-300型真空电弧熔炼炉(氩气气氛下)制备(NiAl)63-xV20Cr17Bx(x=0、0.2、0.4、0.6、0.8和1.0,摩尔比,下同)共晶高熵合金,原材料采用质量分数均大于99.95%的Ni、Al、V、Cr和Ni-15B块体。将30g铸锭翻转并重新熔化至少6次,以提高成分均匀性,然后在水冷铜模中冷却凝固。采用线切割将铸锭切割成不同尺寸后,进行超声波清洗、镶嵌和抛光。采用X射线衍射仪(XRD,UltimaⅣ,CuKα)分析试样的相组成,扫描速率为4(°)/min,扫描角度范围为20°~90°。采用电子探针(EPMA,JXA-8230)和能谱仪(EDS,INCAX-Act)对合金的显微组织和相组成进行分析。在室温下采用WDW-100E万能试验机进行压缩测试,变形速率为1.0×10-3s-1,试样尺寸为ϕ3.5mm×7mm。使用MH-6L维氏硬度计进行硬度测量,载荷为98N,持续10s,每个试样测10次,结果取平均值。

图1(NiAl)63-xV20Cr17Bx合金的XRD图谱
(NiAl)63-xV20Cr17Bxalloys

图2(NiAl)63-xV20Cr17Bx合金的EPMA图
(NiAl)63-xV20Cr17Bxalloys

图3(NiAl)63-xV20Cr17Bx合金的相体积分数
(NiAl)63-xV20Cr17Bxalloys

图4(NiAl)63-xV20Cr17Bx合金的SEM形貌及元素面扫描图
(NiAl)63-xV20Cr17Bxalloys


图5(NiAl)63-xV20Cr17Bx合金的微观组织转变示意图
(NiAl)63-xV20Cr17Bxalloys

图6(NiAl)63-xV20Cr17Bx合金硬度曲线
(NiAl)63-xV20Cr17Bxalloys

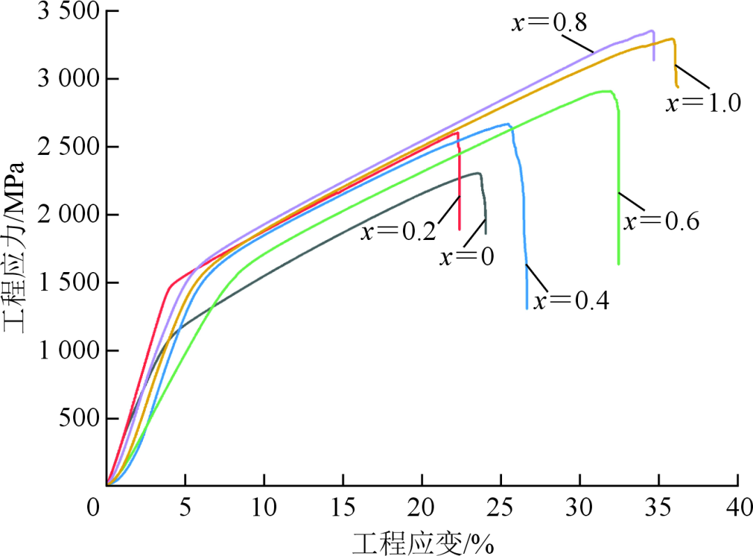
图7(NiAl)63-xV20Cr17Bx合金压缩工程应变-应力曲线
(NiAl)63-xV20Cr17Bxalloys

【研究结论】
(1)采用非自耗真空熔炼炉制备了(NiAl)63-xV20Cr17Bx(x=0、0.2、0.4、0.6、0.8和1.0)共晶高熵合金。随着B含量增加,合金的相组成由BCC+B2相转变为BCC+B2+初生相+硼化物,合金的微观组织从片层共晶转变为亚共晶。
(2)随着B的加入,(NiAl)63-xV20Cr17Bx(x=0、0.2、0.4、0.6、0.8和1.0)合金中规则片层分解,不规则片层细化,当时,形成大块初生相,同时纳米沉淀物(含M2B化合物)在初生相上析出。BCC相的体积分数由33.9%增加至39.2%,B2相的体积分数由66.1%减少至47.1%,初生相的体积分数由7.5%增加至14.7%。
(3)B的加入可以提高(NiAl)63-xV20Cr17Bx(x=0、0.2、0.4、0.6、0.8和1.0)合金的力学性能。合金平均硬度(HV)由503增加到564。屈服强度先增大后减小,断裂强度和断裂应变持续增大。x=0.8时合金具有理想的综合力学性能,其硬度(HV)为556,屈服强度为1523MPa,断裂强度为3348MPa,断裂应变为34.5%。合金力学性能的提高得益于固溶强化、沉淀强化和合金组织转变的综合作用。
【引用格式】
方东,张安,罗爱娇,等.(NiAl)63-xV20Cr17Bx共晶高熵合金的组织和性能[J].特种铸造及有色合金,2024,44(1):30-35.
FANGD,ZHANGA,LUOAJ,(NiAl)63-xV20Cr17Bxeutectichigh-entropyalloy[J].SpecialCastingNonferrousAlloys,2024,44(1):30-35.
[1]单相高熵合金结构与性能
;showBaidu=1hideFootnote=0
[2]W对FeCoCrNiWx高熵合金微观组织和摩擦性能的影响
;showBaidu=1hideFootnote=0