
量子模拟提供了一种研究多体物理的有效途径,有望解决经典计算机可能难以处理的多体问题。通过操控人工可控量子系统,如超导量子比特,可以实现对一大类哈密顿量的模拟与测控。而Aubry-André-Harpe......
量子模拟提供了一种研究多体物理的有效途径,有望解决经典计算机可能难以处理的多体问题。通过操控人工可控量子系统,如超导量子比特,可以实现对一大类哈密顿量的模拟与测控。而Aubry-André-Harper(AAH)模型作为一种用于研究局域化和拓扑态的理论基础,近年来引起实验与理论层面的广泛兴趣。一类由AAH模型演变而来的推广AAH(GAAH)模型,其哈密顿量同时包含对角(on-site)与非对角(off-diagonal)准周期调制,分析显示其包含扩展相、局域相和临界相三种具有不同拓扑与局域化性质的相。由于其哈密顿量的模拟要求同时对角与非对角的准周期调制,比特间直接耦合的超导量子比特器件难于实现这种调制;此外,GAAH模型虽然在冷原子系统中在动量空间合成维度得到实现,但仅观察到单粒子(平均场)水平的动力学行为。

图1.超导器件与GAAH模型示意图
最近,中国科学院物理研究所/北京凝聚态物理国家研究中心Q03组来自西北大学的联合培养博士生李浩,博士生王永逸,在范桁研究员和许凯副研究员指导下,与SC5组郑东宁研究员,相忠诚副主任工程师,Q02组宋小会副研究员,T01组陈澍研究员等合作,在一个可调耦合超导量子芯片上首次实现对GAAH哈密顿量的模拟与调控,在多粒子动力学层面观测到了三个相的不同动力学性质以及它们之间的相变,结果已发表在npjQuantumInformation9,40(2023)。

图2.单激发与多激发自旋输运
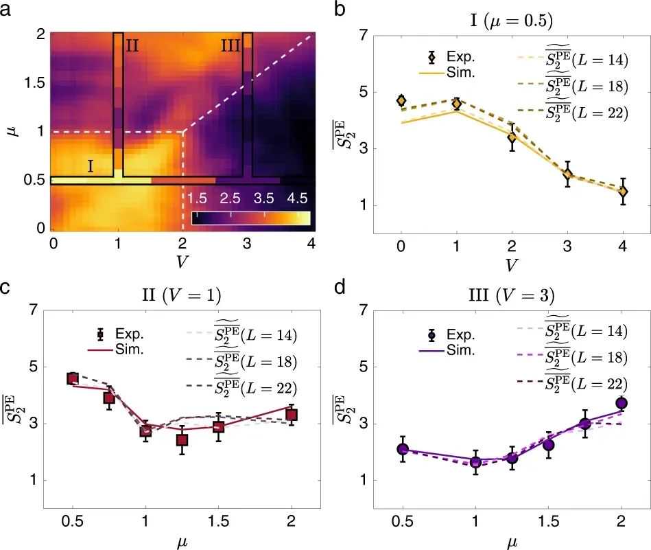
该实验在一个具有10个量子比特与9个耦合器(coupler)构成一维阵列的超导量子芯片中完成,通过精确控制量子比特与耦合器的频率,实现了对比特频率与近邻跃迁强度的准周期调制,使之实现GAAH模型的哈密顿量,改变参数驱动系统处于扩展相、局域相、临界相这三种不同的量子相。实验中观察到了单激发和多激发状态下不同相的自旋输运行为,并利用超导器件的多比特同时读取能力测量了多激发动力学参与熵,展示了不同相中多粒子分形波函数性质,并表征了三个相之间的转变,从而实现了对临界相变的模拟。超导量子处理器的可调耦合结构大大扩展了超导量子处理器的模拟范围,可实现多种类型的哈密顿量,从而为研究不同量子和拓扑现象开辟了道路。

图3.参与熵的时间演化行为

图4.长时平均参与熵
这项工作以“基于超导线路的推广AAH模型临界相变观测”为题于近期发表,作者还包括Q03组赵士平研究员,田野副研究员,西北大学杨战营教授,博士生和博士后等。该工作得到国家自然科学基金委、科技部、北京市自然科学基金和中科院先导专项等的支持。