![表观遗传学是生命科学领域的研究热点之一,它可以在分子水平揭示复杂的临床现象,为解开生命奥秘,克服疾病带来希望。基因印记是一个经典的表观遗传现象,它的存在不依赖于传统的孟德尔遗传定律[1]。传统的孟德尔遗传定律认为,在配子和合子结合期间,所有来自父本和母本的等位基因将同等表达。基因印记会使子代中某些特...](/templets/3_zixun/picture/199.jpg)
表观遗传学是生命科学领域的研究热点之一,它可以在分子水平揭示复杂的临床现象,为解开生命奥秘,克服疾病带来希望。基因印记是一个经典的表观遗传现象,它的存在不依赖于传统的孟德尔遗传定律[1]。传统的孟德尔......

表观遗传学是生命科学领域的研究热点之一,它可以在分子水平揭示复杂的临床现象,为解开生命奥秘,克服疾病带来希望。基因印记是一个经典的表观遗传现象,它的存在不依赖于传统的孟德尔遗传定律[1]。传统的孟德尔遗传定律认为,在配子和合子结合期间,所有来自父本和母本的等位基因将同等表达。基因印记会使子代中某些特殊位点仅表达来自父本或母本的基因,另一等位基因则表现为转录沉默。基因印记主要通过CpG二核苷酸处的胞嘧啶差异甲基化来控制,与其调控相关的分子机制也与DNA甲基化密切相关。
据报道,大约有160种人类基因会受到基因印记的影响,在这期间,基因的甲基化与去甲基化会十分活跃,但一些基因仍可维持亲本状态。


图1.研究方案概述
该研究将目标锁定为人口总量为320000的冰岛人群,对其中150000名冰岛人进行了基因分型;此外,他们还对其中15200个个体进行了基因组测序,将其基因分型数据与冰岛家谱记录整合,以确定亲源的单倍型。(图1.中间部分)
研究人员还收集了200例冰岛人外周血样本,利用氧化亚硫酸氢盐方法检测全基因组的甲基化水平。研究人员将来自外周血样本的285个甲基化组、11617个转录组与亲本单倍型数据结合,构建了一种新的人类印记基因甲基化和基因表达图谱。根据该图谱,研究人员可以确定基因组中每一个序列片段的亲本,以及它们所包含的任何甲基化位点。
同时,研究人员发现,印记基因甲基化是一种具有连续性的表观遗传特征。此外,他们还发现了229个亲本差异甲基化区域,其中有64个为已报道区域,165个为新发现的区域。
Prader-Willi综合征和Angelman综合征(PW/AS)是两种与基因印记相关的遗传性疾病,都由于父本15号染色体部分丢失引起。此前已经有报道证明,此类疾病与15号染色体上亲本甲基化有关[5]。在该研究中,Decode研究人员发现,母本基因组甲基化区域与调控区域关系往往更为密切,例如启动子或转录起始位点,而父本基因组甲基化区域涉及的作用更加广泛。
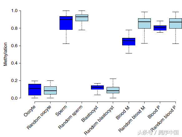
此外,研究人员将精子细胞、卵母细胞以及胚泡的甲基化水平与甲基化模式进行了对比分析,发现大多数PWS/AS亲本差异甲基化区域在精子中呈高度甲基化。(图2)

图2.亲本差异甲基化区域在精子细胞中高度甲基化
父本基因组的甲基化会在受精后迅速消失,在胚泡阶段也会完成去甲基化[2][3][4],但是亲本差异甲基化区域不会消失,如图3。尽管配子中存在很强的甲基化差异,但大部分的PWS/AS亲本甲基化位点是在体细胞建立的。

图3.精子中高度存在的甲基化会在胚泡中消失
与此同时,为了进一步寻找亲源等位基因的特异性表达,研究人员对6800名个体的血液样本进行了RNA-seq,并将测序结果与甲基化相比对。结果发现了137个具有亲本等位基因特异性表达的基因,其中128个基因可在单独队列研究中重复,99个在亲本差异甲基化区域附近。
研究团队还检索了一个内部数据库,以搜索其影响因亲本而异的SNP(singlenucleotidepolymorphism,单核苷酸多态性)与印记障碍基因DLK1/MEG3和GNAS的关系。例如,研究人员发现,GNASrs425881[A]等位基因在母本遗传时会增加促甲状腺激素水平,但在父本遗传时,该甲基化水平会降低。
研究人员注意到,与此前的研究报道相比,该研究发现新的亲本特异甲基化区域和亲本等位基因特异性表达产生的影响更小,而这些较小的差异表明,某些基因印记可能仅存在于特定的细胞亚群或细胞类型。
该研究所描述研究获得的新人类基因组印记甲基化和基因表达模式图谱,与已有的研究结果相比,具有更大的分辨率和影响力,可以帮助研究人员检测到印记基因甲基化和表达模式的细微差异。该研究发现的新亲本差异甲基化区域在亲代同源基因之间的差异比之前已知的要小,而且在印记模式上具有显著的个体差异,为解决印迹基因相关疾病的多方面问题提供了新的思路。
基因印记是当今科学界的一个研究热点。2018年,素有“小诺贝尔奖”之称的盖德纳国际奖就颁给了研究哺乳动物基因组印记的马普免疫生物学与表观遗传学研究所的DavorSolter。从10月份的新报道——首次实现哺乳动物孤雄生殖——也可以看出,该研究领域正逐渐走向成熟。
虽然人们对基因印记的研究还不长,目前仅研究了少数的相关基因,其形成、作用、特异性识别以及缺陷机制也尚未完全了解。但从实现小鼠的同性繁殖再到解决重大疾病,基因印记无疑是一个关键的突破口,相信通过科学家们的不断努力,基因印记的面纱终将被揭开。
参考文献:
[1]Ferguson-SmithAC(July2011)."Genomicimprinting:theemergenceofanepigeneticparadigm".(8):565–75.
[2]Guo,
Nature511,606–610(2014).
[3]Smith,
,611–615(2014).
[4]Okae,
,e1004868(2014).
[5]Joshi,
,555–566(2016).