
机器之心专栏机器之心编辑部蚂蚁AIInfra团队在深度学习最核心之一的优化器方向持续投入与创新,实现了AI训练节约资源、加速收敛、提升泛化等目标。我们将推出“优化器三部曲”系列,这是本系列的第一篇。深......
机器之心专栏
机器之心编辑部
蚂蚁AIInfra团队在深度学习最核心之一的优化器方向持续投入与创新,实现了AI训练节约资源、加速收敛、提升泛化等目标。我们将推出“优化器三部曲”系列,这是本系列的第一篇。
深度神经网络(DNNs)的泛化能力与极值点的平坦程度密切相关,因此出现了Sharpness-AwareMinimization(SAM)算法来寻找更平坦的极值点以提高泛化能力。本文重新审视SAM的损失函数,提出了一种更通用、有效的方法WSAM,通过将平坦程度作为正则化项来改善训练极值点的平坦度。通过在各种公开数据集上的实验表明,与原始优化器、SAM及其变体相比,WSAM在绝大多数情形都实现了更好的泛化性能。WSAM在蚂蚁内部数字支付、数字金融等多个场景也被普遍采用并取得了显著效果。该文被KDD'23接收为OralPaper。

论文地址:
代码地址:
最近的研究表明,泛化能力与极值点的平坦程度密切相关,即损失函数“地貌”中平坦的极值点可以实现更小的泛化误差。Sharpness-AwareMinimization(SAM)[1]是一种用于寻找更平坦极值点的技术,是当前最有前途的技术方向之一。它广泛应用于各个领域,如CV、NLP和bi-levellearning,并在这些领域明显优于原先最先进的方法。
为了探索更平坦的最小值,SAM定义损失函数L在w处的平坦程度如下:

GSAM[2]证明了是局部极值点Hessian矩阵最大特征值的近似,表明确实是平坦(陡峭)程度的有效度量。然而只能用于寻找更平坦的区域而不是最小值点,这可能导致损失函数收敛到损失值依然很大的点(虽然周围区域很平坦)。因此,SAM采用,即作为损失函数。它可以视为在和之间寻找更平坦的表面和更小损失值的折衷方案,在这里两者被赋予了同等的权重。
本文重新思考了的构建,将视为正则化项。我们开发了一个更通用、有效的算法,称为WSAM(WeightedSharpness-AwareMinimization),其损失函数加入了一个加权平坦度项作为正则项,其中超参数控制了平坦度的权重。在方法介绍章节,我们演示了如何通过来指导损失函数找到更平坦或更小的极值点。我们的关键贡献可以总结如下。
我们提出WSAM,将平坦度视为正则化项,并在不同任务之间给予不同的权重。我们提出一个“权重解耦”技术来处理更新公式中的正则化项,旨在精确反映当前步骤的平坦度。当基础优化器不是SGD时,如SGDM和Adam,WSAM在形式上与SAM有显著差异。消融实验表明,这种技术在大多数情况下可以提升效果。
我们在公开数据集上验证了WSAM在常见任务中的有效性。实验结果表明,与SAM及其变体相比,WSAM在绝大多数情形都有着更好的泛化性能。
预备知识
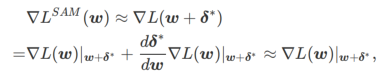
SAM是解决由公式(1)定义的的极小极大最优化问题的一种技术。
首先,SAM使用围绕w的一阶泰勒展开来近似内层的最大化问题,即、

其次,SAM通过采用的近似梯度来更新w,即

其中第二个近似是为了加速计算。其他基于梯度的优化器(称为基础优化器)可以纳入SAM的通用框架中,具体见Algorithm1。通过改变Algorithm1中的和,我们可以获得不同的基础优化器,例如SGD、SGDM和Adam,参见。请注意,当基础优化器为SGD时,Algorithm1回退到SAM论文[1]中的原始SAM。


方法介绍
WSAM的设计细节
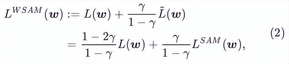
在此,我们给出的正式定义,它由一个常规损失和一个平坦度项组成。由公式(1),我们有

其中。当=0时,退化为常规损失;当=1/2时,等价于;当1/2时,更注重平坦度,因此与SAM相比更容易找到具有较小曲率而非较小损失值的点;反之亦然。
包含不同基础优化器的WSAM的通用框架可以通过选择不同的和来实现,见Algorithm2。例如,当和时,我们得到基础优化器为SGD的WSAM,见Algorithm3。在此,我们采用了一种“权重解耦”技术,即平坦度项不是与基础优化器集成用于计算梯度和更新权重,而是独立计算(Algorithm2第7行的最后一项)。这样,正则化的效果只反映了当前步骤的平坦度,而没有额外的信息。为了进行比较,Algorithm4给出了没有“权重解耦”(称为Coupled-WSAM)的WSAM。例如,如果基础优化器是SGDM,则Coupled-WSAM的正则化项是平坦度的指数移动平均值。如实验章节所示,“权重解耦”可以在大多数情况下改善泛化表现。




展示了不同取值下的WSAM更新过程。当1/2时,介于和之间,并随着增大逐渐偏离。

简单示例
为了更好地说明WSAM中γ的效果和优势,我们设置了一个二维简单示例。如所示,损失函数在左下角有一个相对不平坦的极值点(位置:(-16.8,12.8),损失值:0.28),在右上角有一个平坦的极值点(位置:(19.8,29.9),损失值:0.36)。损失函数定义为:

,这里

是单变量高斯模型与两个正态分布之间的KL散度,即

,其中

和

。
我们使用动量为0.9的SGDM作为基础优化器,并对SAM和WSAM设置=2。从初始点(-6,10)开始,使用学习率为5在150步内优化损失函数。SAM收敛到损失值更低但更不平坦的极值点,=0.6的WSAM也类似。然而,=0.95使得损失函数收敛到平坦的极值点,说明更强的平坦度正则化发挥了作用。

实验
我们在各种任务上进行了实验,以验证WSAM的有效性。
图像分类
我们首先研究了WSAM在Cifar10和Cifar100数据集上从零开始训练模型的效果。我们选择的模型包括ResNet18和WideResNet-28-10。我们使用预定义的批大小在Cifar10和Cifar100上训练模型,ResNet18和WideResNet-28-10分别为128,256。这里使用的基础优化器是动量为0.9的SGDM。按照SAM[1]的设置,每个基础优化器跑的epoch数是SAM类优化器的两倍。我们对两种模型都进行了400个epoch的训练(SAM类优化器为200个epoch),并使用cosinescheduler来衰减学习率。这里我们没有使用其他高级数据增强方法,例如cutout和AutoAugment。
对于两种模型,我们使用联合网格搜索确定基础优化器的学习率和权重衰减系数,并将它们保持不变用于接下来的SAM类优化器实验。学习率和权重衰减系数的搜索范围分别为{0.05,0.1}和{1e-4,5e-4,1e-3}。由于所有SAM类优化器都有一个超参数(邻域大小),我们接下来在SAM优化器上搜索最佳的并将相同的值用于其他SAM类优化器。的搜索范围为{0.01,0.02,0.05,0.1,0.2,0.5}。最后,我们对其他SAM类优化器各自独有的超参进行搜索,搜索范围来自各自原始文章的推荐范围。对于GSAM[2],我们在{0.01,0.02,0.03,0.1,0.2,0.3}范围内搜索。对于ESAM[3],我们在{0.4,0.5,0.6}范围内搜索,在{0.4,0.5,0.6}范围内搜索,在{0.4,0.5,0.6}范围内搜索。对于WSAM,我们在{0.5,0.6,0.7,0.8,0.82,0.84,0.86,0.88,0.9,0.92,0.94,0.96}范围内搜索。我们使用不同的随机种子重复实验5次,计算了平均误差和标准差。我们在单卡NVIDIAA100GPU上进行实验。每个模型的优化器超参总结在中。

给出了在不同优化器下,ResNet18、WRN-28-10在Cifar10和Cifar100上测试集的top-1错误率。相比基础优化器,SAM类优化器显著提升了效果,同时,WSAM又显著优于其他SAM类优化器。

ImageNet上的额外训练
我们进一步在ImageNet数据集上使用Data-EfficientImageTransformers网络结构进行实验。我们恢复了一个预训练的DeiT-basecheckpoint,然后继续训练三个epoch。模型使用批大小256进行训练,基础优化器为动量0.9的SGDM,权重衰减系数为1e-4,学习率为1e-5。我们在四卡NVIDIAA100GPU重复跑5次并计算平均误差和标准差。
我们在{0.05,0.1,0.5,1.0,⋯,6.0}中搜索SAM的最佳。最佳的=5.5被直接用于其他SAM类优化器。之后,我们在{0.01,0.02,0.03,0.1,0.2,0.3}中搜索GSAM的最佳,并在0.80到0.98之间以0.02的步长搜索WSAM的最佳。
模型的初始top-1错误率为18.2%,在进行了三个额外的epoch之后,错误率如所示。我们没有发现三个SAM-like优化器之间有明显的差异,但它们都优于基础优化器,表明它们可以找到更平坦的极值点并具有更好的泛化能力。

标签噪声的鲁棒性
如先前的研究[1,4,5]所示,SAM类优化器在训练集存在标签噪声时表现出良好的鲁棒性。在这里,我们将WSAM的鲁棒性与SAM、ESAM和GSAM进行了比较。我们在Cifar10数据集上训练ResNet18200个epoch,并注入对称标签噪声,噪声水平为20%、40%、60%和80%。我们使用具有0.9动量的SGDM作为基础优化器,批大小为128,学习率为0.05,权重衰减系数为1e-3,并使用cosinescheduler衰减学习率。针对每个标签噪声水平,我们在{0.01,0.02,0.05,0.1,0.2,0.5}范围内对SAM进行网格搜索,确定通用的值。然后,我们单独搜索其他优化器特定的超参数,以找到最优泛化性能。我们在中列出了复现我们结果所需的超参数。我们在中给出了鲁棒性测试的结果,WSAM通常比SAM、ESAM和GSAM都具有更好的鲁棒性。

探索几何结构的影响
SAM类优化器可以与ASAM[4]和FisherSAM[5]等技术相结合,以自适应地调整探索邻域的形状。我们在Cifar10上对WRN-28-10进行实验,比较SAM和WSAM在分别使用自适应和Fisher信息方法时的表现,以了解探索区域的几何结构如何影响SAM类优化器的泛化性能。
除了和之外的参数,我们复用了图像分类中的配置。根据先前的研究[4,5],ASAM和FisherSAM的通常较大。我们在{0.1,0.5,1.0,…,6.0}中搜索最佳的,ASAM和FisherSAM最佳的均为5.0。之后,我们在0.80到0.94之间以0.02的步长搜索WSAM的最佳,两种方法最佳均为0.88。
令人惊讶的是,如所示,即使在多个候选项中,基准的WSAM也表现出更好的泛化性。因此,我们建议直接使用具有固定的基准WSAM即可。

消融实验
在本节中,我们进行消融实验,以深入理解WSAM中“权重解耦”技术的重要性。如WSAM的设计细节所述,我们将不带“权重解耦”的WSAM变体(算法4)Coupled-WSAM与原始方法进行比较。
结果如所示。Coupled-WSAM在大多数情况下比SAM产生更好的结果,WSAM在大多数情况下进一步提升了效果,证明“权重解耦”技术的有效性。

极值点分析
在这里,我们通过比较WSAM和SAM优化器找到的极值点之间的差异,进一步加深对WSAM优化器的理解。极值点处的平坦(陡峭)度可通过Hessian矩阵的最大特征值来描述。特征值越大,越不平坦。我们使用PowerIteration算法来计算这个最大特征值。
显示了SAM和WSAM优化器找到的极值点之间的差异。我们发现,vanilla优化器找到的极值点具有更小的损失值但更不平坦,而SAM找到的极值点具有更大的损失值但更平坦,从而改善了泛化性能。有趣的是,WSAM找到的极值点不仅损失值比SAM小得多,而且平坦度十分接近SAM。这表明,在寻找极值点的过程中,WSAM优先确保更小的损失值,同时尽量搜寻到更平坦的区域。

超参敏感性
与SAM相比,WSAM具有一个额外的超参数,用于缩放平坦(陡峭)度项的大小。在这里,我们测试WSAM的泛化性能对该超参的敏感性。我们在Cifar10和Cifar100上使用WSAM对ResNet18和WRN-28-10模型进行了训练,使用了广泛的取值。如所示,结果表明WSAM对超参的选择不敏感。我们还发现,WSAM的最优泛化性能几乎总是在0.8到0.95之间。

参考文献
[1]'21.
[2]'22.
[3]'22.
[4]:AdaptiveSharpness-'21.
[5]:'22.